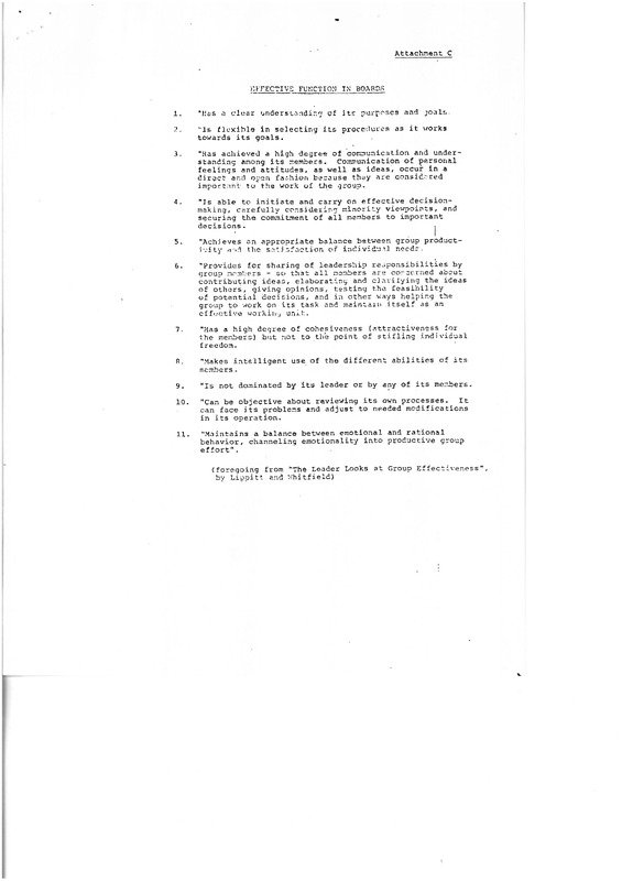
b22.d8.i14.6.tif

Media